04.03.2026
Новые технологии в диагностике двигательных нарушений: оценка гипокинезии при болезни Паркинсона
Целью исследования явилась оценка диагностической значимости аппарата В.М. Буданова в объективизации гипокинезии у пациентов с болезнью Паркинсона в сравнении со стандартной шкалой MDS UPDRS
Введение.
Болезнь Паркинсона (БП) представляет собой социально значимое мультисистемное нейродегенеративное заболевание, патогенетической основой которого является прогрессирующая дегенерация дофаминергических нейронов substantia nigra pars compacta с последующим формированием телец Леви. Данный процесс приводит к стойкой двигательной и когнитивной дисфункции, что влечет за собой раннюю инвалидизацию пациентов [1].
Эпидемиологические данные свидетельствуют о высокой Journal of modern medicine №1 (12), Tome 1, 2026 242 распространенности БП в Томской области, где показатель заболеваемости достигает 238 случаев на 100 000 населения, что является наивысшим по сравнению с другими регионами России [2]. Это может быть связано как с генетическими факторами, так и с влиянием экологических и социально-экономических детерминант.
Клиническая картина БП характеризуется классической триадой симптомов:
1. Гипокинезия (брадикинезия, олигокинезия)
2. Тремор покоя (4–6 Гц)
3. Мышечная ригидность по пластическому типу
Особый интерес представляет гипокинезия, которая включает четыре ключевых компонента:
1. Нарушение моторной инициативы (задержка начала движений)
2. Дисфункция кинетической «мелодии» (разрушение плавности и автоматизма движений)
3. Дефицит стратегии двигательного обучения (нарушение адаптации к новым моторным задачам)
4. Быстрая истощаемость при повторных движениях (феномен sequence effect)
В настоящее время «золотым стандартом» оценки гипокинезии в клинической практике является Унифицированная шкала оценки болезни Паркинсона (MDS UPDRS), разработанная Международным обществом расстройств движений (MDS).
В рамках третьей части шкалы (MDS UPDRS-III) применяются следующие тесты:
• Тест постукивания пальцами (оценка скорости и амплитуды движений I и II пальцев кисти)
• Тест сжимания-разжимания кисти (анализ брадикинезии и амплитуды)
• Тест постукивания стопой (диагностика гипокинезии нижних конечностей)
Цель исследования - оценить диагностическую значимость аппарата В.М. Буданова в объективизации гипокинезии у пациентов с БП в сравнении со стандартной шкалой MDS UPDRS.
Однако субъективность врачебной оценки по MDS UPDRS несет риски гипо- и гипердиагностики, что особенно критично при динамическом наблюдении и смене лечащего врача. В связи с этим актуальной задачей является разработка объективных инструментальных методов диагностики гипокинезии.
Материалы и методы.
В исследовании приняли участие 41 пациент с диагнозом болезнь Паркинсон.
Дизайн исследования: проспективное сравнительное исследование.
Клиническая выборка:
• n = 41 пациент с верифицированным диагнозом БП (по критериям MDS, 2015)
• Гендерное распределение: 26 женщин (63,4%), 15 мужчин (36,6%)
• Стадии по Хен-Яру: o 0 стадия: 1 (2,4%)
o I стадия: 4 (9,8%)
o II стадия: 15 (36,6%)
o III стадия: 16 (39,0%) o IV стадия: 5 (12,2%)
Методы оценки гипокинезии:
1. Клиническая шкала MDS UPDRS-III (субъективная оценка врачом-неврологом)
2. Аппарат В.М. Буданова (неинвазивный датчик углового ускорения, НИИ Journal of modern medicine №1 (12), Tome 1, 2026 243 механики МГУ) регистрирует скорость и амплитуду движений в условных единицах (УЕ), рассчитанных на основе углового ускорения [3].
Статистический анализ выполнен на программном обеспечении: STATISTICA 13.0 (StatSoft, Inc., USA). Были использован критерии: H-критерий Краскела-Уоллиса (для непараметрических данных), уровень значимости принимался за достоверный при: p < 0,05
Результаты.
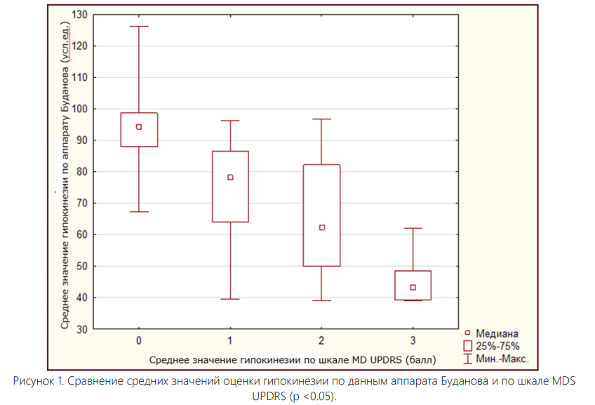
При сравнении показателей гипокинезии по шкале MDS UPDRS и аппарату Буданова, можно заметить четкую тенденцию, что чем больше балл по шкале MDS UPDRS, тем меньше значения углового ускорения движения, то есть прослеживается обратно-пропорциональная связь между этими показателями гипокинезии (рис. 1).
Детальный анализ отдельных показателей гипокинезии в таких конечностях, как левая рука, пальцы правой кисти, левая нога, не выявил данной общей тенденции. Такое отклонение от полученных результатов может свидетельствовать о некоторых диагностических ошибках (неточностях), допущенных при возможной гипердиагностике гипокинезии по третьей части шкалы MDS UPDRS (табл. 1).
Данный факт несоответствия представленных некоторых показателей анализируемых пациентов с болезнью Паркинсона между шкалой MDS UPDRS и аппаратом Буданова как раз и демонстрируют некоторую методически-диагностическую неточность определения степени гипокинезии по шкале MDS UPDRS врачом субъективно.
1. Обратная корреляция между MDS UPDRS и данными аппарата Буданова o Увеличение баллов по MDS UPDRS-III ассоциировано со снижением углового ускорения (r = -0,72, p < 0,001) (Рис. 1).
2. Гетерогенность показателей в отдельных конечностях o В левой руке и правой кисти выявлены статистически незначимые отклонения Journal of modern medicine №1 (12), Tome 1, 2026 244 (p> 0,05), что может указывать на гипердиагностику гипокинезии по MDS UPDRS (Табл. 1).
3. Сравнительная диагностическая точность o Аппарат Буданова демонстрирует меньшую вариабельность в оценке гипокинезии по сравнению с MDS UPDRS. Выводы. Проведенные исследования демонстрируют четкую тенденцию обратной корреляционной связи показателей гипокинезии по шкале MDS UPDRS и аппарату Буданова.
Некоторые выпадения из общей полученной тенденции могут свидетельствовать о субъективных диагностических неточностях оценки по шкале MDS UPDRS, а также малым набором группы. Таким образом, оценка гипокинезии аппаратом Буданова является наиболее объективным и диагностически верным методом измерения гипокинезии, что может послужить альтернативой третьей части шкалы MDS UPDRS. Возможность использования в рутинной практике неврологами объективной количественной оценки гипокинезии позволит непредвзято выявлять пациентов с болезнью Паркинсона на более ранних стадиях и непредубеждённо отслеживать динамику развития заболевания врачами различных лечебных учреждений.
Использованная литература:
1. Hull A, Atilano ML, Gergi L, et al. Lysosomal storage, impaired autophagy and innate immunity in Gaucher and Parkinson’s diseases: insights for drug discovery. Philos Trans R Soc Lond B Biol Sci. 2024;1889(379):20220381. 2. Westenberger A, Skrahina V, Usnich T, et al. Relevance of Genetic Testing in t
2. Westenberger A, Skrahina V, Usnich T, et al. Relevance of Genetic Testing in the GeneTargeted Trial Era: The Rostock Parkinson’s Disease Study. Brain. 2024;147:2652.
3. Жукова Н.Г., Колобовникова Ю.В., Сайфитдинхужаев З.Ф. Митохондриальная дисфункция в патогенезе болезни Паркинсона: современные представления и потенциальные терапевтические стратегии. Анналы клинической и экспериментальной неврологии 2025;19(2):74-81.
4. Катунина Е.А., Бездольный Ю.Н. Эпидемиология болезни Паркинсона. // Журнал неврологии и психиатрии им. С.С. Корсакова. 2013;113(12):81-88.
5. Катунина Е.А., Ильина Е.П., Садекова Г.И., Гайсенюк Е.И. Подходы к ранней диагностике болезни Паркинсона. // Журнал неврологии и психиатрии им. С.С. Корсакова. 2019;119(6):119-127.
6. Патент № 2770980. Способ дифференциальной диагностики гипокинезии у пациентов с синдромом паркинсонизма и система для реализации такого способа (варианты). № 2021113223: заявл. 11.05.2021: опубл. 25.04.2022 / А. Б. Камакинова, В. М. Буданов; заявитель, патентообладатель.
7. Султанова С.Г., Федорова Н.В., Верюгина Н.И., и др. Влияние двусторонней глубокой стимуляции субталамического ядра головного мозга на ходьбу и равновесие у больных болезнью Паркинсона. Журнал неврологии и психиатрии им. С.С. Корсакова. 2025;125(3):94–101.
Авторы:
Исраилова Г.М., Исроилова Г.Ш., Сайфитдинхужаев З.Ф., Насриддинова Н.А., Кучкарова О.Б.
Многопрофильная клиника «Shox International Hospital»
Сибирский государственный медицинский университет
Андижанский государственный медицинский институт
Теги:
234567 Начало активности (дата): 04.03.2026
234567 Кем создан (ID): 989
234567 Ключевые слова: болезнь Паркинсона, мультифакториальные заболевания, гипокенезия, аппарат Буданова В.М., оценка симптомов
12354567899
Похожие статьи
Сравнение результатов минимально инвазивных и открытых хирургических технолгий у пациентов с симптоматическим стенозом поясничного отдела позвоночника на фоне сколиотической деформацииРентген на дому 8 495 22 555 6 8
Симптом хаотичного мощения
Симптом четкообразного утолщения перегородок
Симптом воздушной бронхографии


